近日,我校第一临床医学院2020级临床医学教改一班的李怡同学拾金不昧,用实际行动弘扬雷锋精神,彰显了新时代青年榜样风采。


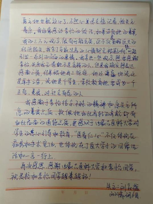
2月2 日下午,我校学子李怡在呼和浩特体育场地铁站内捡到一个装有三万元现金的黑色皮包,她意识到失主不慎遗失,肯定很着急。于是,李怡立即将皮包交给地铁站工作人员,并在站内耐心等待失主亲自取回皮包。失主刘女士得知消息后立即返回地铁站,经工作人员核实身份后,取回了失物。刘女士内心十分感激,当即就拿出部分现金表示感谢,却被李怡同学婉言谢绝了,“举手之劳,这是我应该做的”。刘女士告诉我们,李怡同学不仅及时上交失物,还极具责任心地在站内等待,直至她亲自领回失物,让她十分感动。刘女士对我校培养出具有良好品格的学生表示敬意,她特地为李怡同学送上锦旗和感谢信,希望这份正能量能传递给更多的人。


李怡同学表示,用自己的微薄力量能帮助到他人,是一件快乐的事,希望同学们在日常生活中都能尽己所能,更多地去帮助他人。李怡同学的辅导员老师邓英英表示,李怡同学作为班级入党积极分子,在生活和学习中都严格要求自己,此次拾金不昧的善举也是她用实际行动践行了个人初心。邓老师说,在日常的学习生活中,老师们经常会通过党课、团课及班会等多种形式,引导同学们树立正确的人生观和价值观,尽己所能向善而行。

(第一临床医学院2020级辅导员 邓英英) 李怡同学用实际行动彰显出新时代新征程下,当代大学生的良好精神风貌和优秀道德品质,更展现出了新时代青年对雷锋精神的传承。一直以来,我校认真贯彻落实党的教育方针,始终坚持立德树人根本任务,注重德育工作,努力培养学生树立良好的道德品质。希望广大青年学子能以李怡同学为榜样,将雷锋精神内化于心,外化于行,为弘扬社会正能量贡献青春力量!
